상태 방정식 (State Equation)
- 이전 상태(위치 등)와 현재 상태 사이의 관계를 나타냄.
- 측정 방정식(measurement equation)이란 현재 상태와 센서 데이터 사이의 관계.
- 1차원에서 직선으로 움직이는 어떤 물체의 움직임의 상태를 표현하는 상태 방정식을 다룬다.
상태 방정식 전개
상태 방정식 최종형태
상태 방정식 유도
-
step
-
k 번째 step의 물체의 위치 상태
-
k 번째 step의 물체의 속도
-
k 번째 step의 물체의 가속도
-
각 step 간 시간 간격
-
기본적으로 등가속도운동 공식에 따라 현재 위치 )는 다음과 같이 정의할 수 있음
- 현재 속도 는 다음과 같이 정의할 수 있음
- 현재 가속도 는 **입력 제어 값 과 노이즈**을 이용해 다음과 같이 정의할 수 있음 (엑셀레이터와 같은 입력으로 인해 가속도가 바뀜)
- ==따라서, 위의 식들을 이용하여 현재 상태 에 대한 식을 풀어보면,==
측정 방정식
- 위치를 가리키는 센서 데이터 와 위치 상태 의 관계를 나타내는 측정 방정식(measurement equation) 은 다음과 같이 표현함
- 이때, 는 센서 자체의 노이즈(분산)을 의미함
_image_1.png)
- 센서의 노이즈가 작으면 왼쪽과 같이 물체를 인식한 분포가 좁은 영역에 겹쳐져 있고, 이는 노이즈(분산)이 작다고 말할 수 있음
- 이 노이즈 때문에 항상 일 수 없음
상태방정식과 측정방정식 행렬식
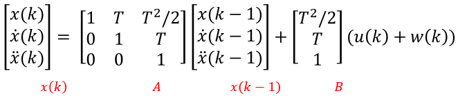
_image_2.png)
- 상태 방정식을 연립방정식의 행렬표현에 따라 행렬로 나타내면 위와 같음
- 위치 상태인 를 3차원 (위치, 속도, 가속도) 로 보고, 이전 상태 의 계수 행렬 A를
state matrix라고 함 - 입력 제어 값 에 대한 계수 행렬 B를
control matrix라고 함
_image_3.png)
- 위 측정방정식의 행렬 C를
transition matrix라고 함 - 따라서 상태방정식과 측정방정식의 최종 형태는 다음과 같음
정리
- 상태 방정식에서 제어 입력에 대한 노이즈는 와 측정 방정식에서 측정값에 대한 노이즈는 는 Localization과 Tracking 문제를 모델링 할 때 매우 중요한 역할을 함
- Localization 문제에서는 제어 입력 이 입력되는 반면, Tracking 문제에서는 제어 입력이 주어지지 않으므로 더 어려움
참고
Prev: 4. Localization과 Tracking
Next: 6. 베이즈 필터(Bayes Filter)